由于第一章绪论没什么好讲的,所以直接讲干货
2.1 数据类型和统计
数据对象
- 数据集由数据对象构成
- 一个数据对象代表一个实体
- 例子
- 销售数据库:客户,商店物品,销售额
- 医疗数据库:患者,治疗信息
- 大学数据库:学生,教授,授课信息
- 数据对象所描述的属性
- 数据库中的行->数据对象
- 数据库中的列->数据属性

数据对象也可能被称为:
- 样品
- 实例
- 示例
- 数据点
- 元组等
数据的类型
常见的数据类型种类
- 标称类型(也叫类别,状态)
- hair_color={黑色,白色,黄色,棕色,灰色,克莱因蓝,螺蛳粉}
- 序数
- 就是一个有意义的顺序(排名)
- 比如:大小={小,中,大},等级,军队排名
- 区间标度
- 有单位长度的度量属性
- 比如:温度,日历
- 不存在0点,倍数没有意义
- 比率标度
- 具有固定零点的数值属性,有序,并且可以计算倍数
- 比如:长度,重量
- 二进制(特殊的标称类型)
- 只有0和1两种状态
- 比如:性别={男,女},抛硬币={正面,反面}
离散和连续
- 离散属性(Discrete Attribute)
- 有限或无限可数(countable infinite )个值
- 例:邮政编码,计数,文档集的词
- 常表示为整数变量.
- 注意:二元属性(binary attributes)是离散属性的特例
- 连续属性(Continuous Attribute)
- 属性值为实数
- 例:温度,高度,重量.
- 实践中,实数只能用有限位数字的数度量和表示
- 连续属性一般用浮点变量表示.
简单的来说,离散的数据是有限个点,连续的数据是无限个点。
数据统计汇总
数据统计的目的
为了更好的了解数据的集中趋势和分布趋势。
- 集中趋势(central tendency)在统计学中是指一组数据向某一中心值靠拢的程度,它反映了一组数据中心点的位置所在。
简单来说就看数据在图表中在那个值或者区间聚拢。

2.2 数据可视化
箱形图(盒状图)
什么是箱形图
我知道你们来看这个笔记的人大部分都没接触过箱型图,俺也一样,所以这里先补充一下什么是箱型图,如果知道的可以直接跳过至箱形图的作用。
先看一下百度百科的定义:
简单来讲就是一种用于反应数据分布情况的图。
箱型图有五个主要的特征:
- 上边缘(最大值)
- 下边缘(最小值)
- 中位数
- 上四分位数
- 下四分位数
这个五个都是在一组数据当中计算得出的值。
如果把数据的大小进行排序,那么这五个值分别代表的了在:
- 上边缘(最大值) 100%
- 下边缘(最小值) 0%
- 中位数 50%
- 上四分位数 75%
- 下四分位数 25%
对应百分比位置的数据。
举个锥简单例子:
一组数据如下:{1,2,3,4,5,6,7,8,9}
那么:
- 上边缘(最大值):9
- 下边缘(最小值):1
- 中位数:5
- 上四分位数:3
- 下四分位数:7
箱形图的绘制就很简单了,一看就懂了:
这里会发现有一个空心的原点,这种是异常数据,一般会进行舍去来提高数据的精度。
箱形图的作用
一句话概括就是,箱形图能分析多个数据的离散差异性。
什么是离散差异性呢?
所谓离散程度,即观测变量各个取值之间的差异程度。
举个例子:
我们用箱形图来表示五门课的成绩分布:
我们主要看中间的箱子部分。
会发现语文和历史差异比较小,箱子所在y轴区间差不太多(这里暂时只要肉眼看看就行,后面会有计算)。
数学和地理差异就比较大。
这就是箱形图的作用。
那如果想要了解单科成绩在各个分数区间的人数分布呢?这个时候箱形图就不再适用了,需要用到直方图。
直方图(柱状图)
这个就不介绍了,柱状图都不知道的建议重修小学数学。
人教版小学数学电子课本
直方图的作用就很简单了:用来分析单个属性的和各个区间的变化。
还可以通过设置不同颜色叠加直方图,让不同属性之间的分布比较更明显:
散点图
散点图的主要作用就是用于显示两组数据的相关性分布
数据的相关性有三种:
- 正相关
- 负相关
- 不相关



散点图的作用还可以用来做数值预测。
比如:
房屋销售价格以及房屋的基本信息建立模型,来预测在此期间其他房屋的销售价格。
下面是各个属性对房价的影响:



可以注意到,四张图都绘制了一条预测曲线,而相对来讲,房屋面积和建筑面积两个特征比较贴合这个预测曲线,所以如果想要预测房价,房屋的面积和建筑面积更适合作为参考。
2.3 数据相似性
度量数据的相似性和相异性
基本概念
- 相似度Similarity
- 度量两个数据对象有多相似
- 值越大就表示数据对象越相似
- 通常取值范围为[0,1]
- 相异度Dissimilarity (e.g., distance)
- 度量两个数据对象的差别程度
- 值越小就表示数据越相似
- 最小相异度通常为0
邻近性Proximity
数据矩阵

矩阵,每一行代表一个数据,每一列代表一个属性(特征)。
所以这个矩阵所代表的就是n个数据,p个特征的数据矩阵。
这里
p个特征也被叫做为p个维度。
- 相异矩阵

这个矩阵是描述数据之间差异的矩阵,这里的d(i,j)表示的是:第i行数据和第j行数据的距离。
这里我们是通过数据之间的距离来描述数据的差异的,就像两个点距离越大,差异就越大,这里只要知道一个大概的概念即可,距离的计算后面会学习。 不难发现这是一个三角矩阵,其中对角线都是0,因为第i行和第i行的差异一定是0。
标称属性的邻近性度量
方法:简单匹配
计算公式:d(i,j) = (p-m)/p
参数解释:
m:匹配次数p:属性总数
来看个例子:
比如我们要计算两个同学兴趣爱好的相异程度:
可以看到这里一共有4个属性(特征、维度),所以这里的p = 4。
接下来就对每个属性一一比较,会发现只有属性1两个同学是相同的,也就是匹配的,剩下三个都不匹配,所以这里m=1。
那么根据公式d(1,2) = (4-1)/4 = 3/4
多个属性同理。
二值属性的邻近性度量
这个比较复杂,就先看实例:
比如下面这是三个人的病历单:
不难发现,这里每个属性的取值只有两个,所以对应我们可以设置令Y = 1,P = 1 ,N = 0。
由于性别(Gender)这个属性比较没有意义所以不设置,
Fever里面属性应该是Y或者N,这里由于都生病了所以只有Y。
接下来如果两两对比,我们可以获得一张22的*邻接表:
这里来解释一下这个表和四个参数的意思:
- 表的第一行
1 0表示的是第一个数据二值属性的取值。 - 表的第一列
1 0表示的是第二个数据二值属性的取值。 q参数代表的是,两个数组所有特征一一对比情况下,二值属性的取值都是1的个数。r参数就是第一个数据为0,第二个为1的个数。- 后面依次类推
- 这里需要比较的特征很明显是从第三列开始到最后一列。
举个例子:我们拿Jack和Mary做比较:
都是1的属性有Fever和Test-1,所以q = 2- 第一个是0,第二个是1的属性的没有,所以r = 1
- 依次类推,s = 0 ,t = 3
所以会发现四个参数之和就是p(属性总数)。
距离公式就很好计算了:
把上面的参数代入即可。
这里分母是所有属性总数很好理解,分子的话就是只要两个数据有差别的进行相加即可。
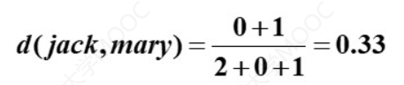
这里需要补充一点,这种计算法则下,我们通常是默认二值属性两个值的取值是等概率的,然后实际情况下概率不一定都相等,尤其是在这个病例模型下,如果我们想要研究病例的情况,就需要舍去两个数据都是正常的属性(也就是二值属性都取0的时候)。
否则的话就会导致距离计算过小而看不出差异。
那这里的话一般就是会舍去t值。
所以这里我们比较一下Jack和Mary,计算这两个数据的差异性可得:
取值概率相等的属性我们称之为:对称二进制属性 不相等的我们称之为:不对称二进制属性
最后补充一个杰卡德系数:
分子就是两个数据的二值属性都是1的个数。
数值属性的邻近性度量
求解数值属性的距离的公式如下:
我们一般称之为:闵可夫斯基距离
这里的h后面会固定下来,这里当做一个常数即可。
它的性质如下:
h取不同值又表示了不同的距离:
h=1时,曼哈顿距离:

h=2时,欧式距离:

h-> ∞时,上确界距离:

前两个很好理解,第三个上确界距离看着很吓人,其实很简单,就是两个数据中所有属性中差值的绝对值中最大值的。
还不懂举个例子就懂了:
一共两个属性,所以这里 p = 2。
接下来计算d(x1,x2)的三种距离:
- 曼哈顿距离:|3-1| + |5 -2| = 5
- 欧式距离:|(3-1)2|+|(5-2)2| = 13
- 上确界距离:max {|3-1| , |5-2|} = 3(取两个绝对值中最大的就行了)
是不是真的很简单。
接下来把所有数据的距离算出来就可以得到下面三张表:


