3.1 数据清洗
为什么要进行数据预处理
因为初始的数据可能会出现以下几种问题:
比较好理解,就不解释了。
数据预处理
数据预处理的步骤
- 数据清洗
- 填写缺失值,平滑噪声数据,识别或删除离群,并解决不一致问题
- 数据集成
- 整合多个数据库,多维数据集或文件
- 数据缩减
- 降维
- Numerosity reduction(数据约减)
- 数据压缩
数据转换和数据离散化
“脏”数据:
- 不完整的:缺少属性值,缺乏某些属性值,或只包含总数据
- 例如,职业=“ ”(丢失的数据)
- 含嘈杂的噪音,错误或离群
- 例如,工资=“-10”(错误)
- 不一致的代码或不符的名称
- 年龄=“18”生日=“03/07/1997”
- 曾经评级“1,2,3”,现在评级“A,B,C”
那我们清洗数据的时候就需要:
- 填充或者删除脏数据
- 在脏数据数目较小的时候可以直接删除
- 脏数据数目较大就不可以,可以手动填写或者用属性的平均值自动填充
- 去除或者修正杂音数据
- 一般情况下都是直接删除
- 更新不一致的名称
实体识别
上面的两个数据库中,名字的属性一个是中文名字,一个是中文名字首字母缩写,所以合并的时候需要进行一个统一:
数据冲突和检测
发生的原因可能有两个:
- 对于同一个真实世界的实体,来自不同源的属性值
- 可能的原因:不同的表述,不同的尺度,例如,公制与英制单位
比如这里的两张表,一个单位肯定是米,另一个单位其实是英尺(课程里说的我也不知道是不是),所以集成在一个数据库的时候,需要统一单位。
这里就是统一成“米”
冗余信息处理
整合多个数据库经常发生数据冗余
Object identification:相同的属性或对象可能有不同的名字在不同的数据库中Derivable data:一个属性可能是“派生”的另一个表中的属性。第一个很好理解,类似于模式集成中的处理,第二个就好比有两个属性,一个是长度,一个是1/2的长度,显然只需要知道第一个就一定知道第二个属性,所以第二个属性就会被去除不做处理。
如果数据集比较大,特征数量比较多的情况下,怎么排查出冗余属性呢?
通过相关性分析和协方差分析可以检测到冗余的属性。
相关性分析——离散变量处理
相关性分析有如下公式(卡方检验):
当X2的值越大,就表明越有可能两个变量(特征)是相关的。
注意这里的相关只是数据上的相关,并非实际因果关系上的相关,比如喜欢戴帽子的人和喜欢吃冰淇淋。
解释一下公式中的两个参数:
Expected:预期值Observed:实际值
举个例子来解释:
这里补充一下参数:
1表示是,0表示否- 两个数据库数据总数相同,都为:1500
- 下象棋的总人数:450
- 看书的总人数:300
再加上其余的统计,我们可以绘制如下这张表:
相信大家都看得懂英文,这里就类似于前面讲的二值属性邻近性度量。
重点关注这四个数据:
括号外面的是实际数据。
比如又下棋又看书的人是
250
括号内部的是预期数据。
比如第一个括号里面的
90,这个数据是由: 下棋的总人数(300)*看书的总人数(450)/数据总数(1500) = 90 其余的以此类推。
将上面表中的数据代入公式可得:
这就可以说明这两个数据相关度比较大了。
相关分析——连续变量的处理
连续变量的处理通常会涉及到一个相关系数的求解,我们称之为:皮尔逊相关系数。
解释一下参数:
p和q是各自属性的具体值p̄和q̄是各自属性的平均值σp和σq是各自的标准差n就是数据总数
我猜这里有人忘记标准差了,所以放一个标准差的计算公式:

就不解释了,再看不懂去百度。
这个系数的含义如下:
- 当
r>0时,表示两变量正相关,r<0时,两变量为负相关。 - 当
r=1时,表示两变量为完全线性相关,即为函数关系。 - 当
r=0时,表示两变量间无线性相关关系。 - 当
0<r<1时,表示两变量存在一定程度的线性相关。且r越接近1,两变量间线性关系越密切;r越接近于0,表示两变量的线性相关越弱。 - 一般可按三级划分:
r<0.4为低度线性相关;0.4≤r≤0.7为显著性相关;0.7<r<1为高度线性相关。
协方差
看一下协方差的公式:
Cov还可以化简:
E是求解平均数
对比一下:
性质如下:
- 正相关:cov(p,q)>0
- 负相关:cov(p,q)<0
- 独立性:cov(p,q)=0
接下来看个实例:
假设两只股票A和B具有在1个星期的以下值:
| 第一天 | 第二天 | 第三天 | 第四天 | 第五天 | |
|---|---|---|---|---|---|
| 股票A | 2 | 3 | 5 | 4 | 6 |
| ** | 5 | 8 | 10 | 11 | 14 |
问题:如果股票都受到同行业的趋势,他们的价格一起上升或下降?
首先分别计算两个股票的平均值:
- E(A) = (2+3+5+4+6)/5 = 4
- E(B) = (5+8+10+11+14)/5 = 9.6
由于只要看上升或者下降,就只需要计算Cov就可以了。
Cov(A,B) = ( 25 + 38 + 510 + 411 + 614)/4 - 49.6 = 4 >0
这里使用的是化简后的公式,是A和B对应属性值相乘求平均值 - 二者平均值相乘
3.3 数据规约
为什么要做数据规约
由于数据仓库可以存储TB级别的数据,因此在一个完整的数据集上运行时,复杂的数据分析可能需要一个很长的时间。
数据规约包含下面三个内容:
- 降维
- 降数据
-
降维
什么是降维
很简单,比如原始的数据集中有
n个特征,降维就是通过把n个特征转化为m(m<n)个特征,来达到减少存储开销和计算时间的目的。为什么降维
随着维数的增加,数据会变得越来越稀疏
- 比如病例模型中,有些特征是和病因的关联不大,基本属于无效特征,所以需要降维减少这些无效特征。
- 子空间的可能的组合将成倍增长(这个了解即可,后面会再讲相关概念)
- 基于规则的分类方法,建立的规则将组合成倍增长
- 类似神经网络的机器学习方法,主要需要学习各个特征的权值参数。特征越多,需要学习的参数越多,则模型越复杂
- 机器学习训练集原则:模型越模型,需要更多的训练集来学习模型参数,否则模型将欠拟合。
- 因此,如果数据集维度很高,而训练集数目很少,在使用复杂的机器学习模型的时候,首选先降维。
- 维数太多,不便于可视化。
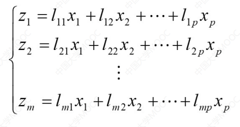
如何降维
一般采用的是PCA主成分分析法。
比如我们需要将下面的数据库进行降维:

核心计算方法如下:
解释一下参数:
z是降维之后的新特征x是降维前的特征l是各个特征x对应的系数(视情况而定义)- 其中
m一定是小于p的这里就是把前
p个特征降维成为m个特征。
比如这里可以把理科成绩设置为z1,那么:
这里的x1,x2,x3就是数学,物理,化学。
这里的系数是通过算法得出的,详情可以参见下面这个视频。
降数据
简单随机抽样
- 相等的概率选择
- 不放回抽样(Sampling without replacement)。
- 一旦对象被选中,则将其删除
有放回抽样(Sampling with replacement)
每组抽相同个数
- 用于偏斜数据
数据压缩
这个更简单了,就比如把图片的像素进行压缩,减少像素就减少了特征值。
3.4 数据转换
什么是数据转换
通过函数映射,指给定的属性值更换了一个新的表示方法,每个旧值与新的值可以被识别。
数据转换有两个方面:
- 规范化
- 离散化
规范化
为什么要规范化
假如我们需要研究学生的高考成绩,但是各个省份成绩的取值范围不一定相同,2020年江苏卷高考数学满分是200,全国卷数学满分是150,所以为了数据精准,我们需要把不同的范围规范到同一个范围当中。
规范化有三种常见方法:
- 最小-最大规范化
- Z-得分正常化
- 小数定标规范化
最小-最大规范化
公式如下:
解释一下参数:
v:原先特征的值v':规范化之后特征的值minA:原先特征A中的最小值maxA:原先特征A中的最大值new_minA:规范化后特征A中的最小值new_maxA:规范化后特征A中的最大值
举个例子:
这里我们把分数都规范化,为了方便起见只取前面九个数据。
这里我们把分数规范化至0-1,所以new_minA=0那么new_maxA=1,以数学为例,minA=65,maxA=83。v就是65,77,67……
z-分数规范化
公式如下:
这个比较简单,就不讲解,具体讲一下什么时候用z-分数规范化:
在数据集是流式数据集的时候,也就是有源源不断的新数据进入数据集中,这个时候很难确定数据的最大值和最小值,所以通常用z-分数规范化。
小数定标

举个例子:假设一个特征的值的范围是300-10000,那么定标之后就是0.003-0.1。
最大的数定标之后刚好小于1即可。
离散化
为什么需要离散化
因为部分算法比较low,计算不了连续型,只能计算离散型,所以需要离散化
离散化有三种方法:
- 等宽法
- 等频法
- 聚类
等宽法
等频法
根据取值出现的频数来划分,将属性的值域划分成个小区间,并且要求落在每个区间的样本数目相等:
这里一共十二个数据,需要分成三组,所以每组四个。
聚类
利用聚类将不同的类别划分成不同的离散类别。
比如原始的数据集如下:
如果使用前两种方法:
会发现分类的时候会把原本颜色离散的点分割开来,聚类的效果如下:
聚类是一个算法,这个算法后面会讲,这里只需要知道就可以。


