参考来源:
知乎:一文搞懂RNN(循环神经网络)基础篇
知乎:完全图解RNN、RNN变体、Seq2Seq、Attention机制
零基础入门深度学习(5) - 循环神经网络
CSDN:深度学习之RNN(循环神经网络)
CSDN:RNN
RNN(Recurrent Neural Network)是一类用于处理序列数据的神经网络。首先我们要明确什么是序列数据,摘取百度百科词条:时间序列数据是指在不同时间点上收集到的数据,这类数据反映了某一事物、现象等随时间的变化状态或程度。这是时间序列数据的定义,当然这里也可以不是时间,比如文字序列,但总归序列数据有一个特点——后面的数据跟前面的数据有关系。
一、从单层网络谈起
在学习 RNN 之前,首先要了解一下最基本的单层网络,它的结构如图:
输入是 x ,经过变换 Wx+b 和激活函数 f 得到输出 y 。相信大家对这个已经非常熟悉了。
二、经典的RNN结构(N vs N)
在实际应用中,我们还会遇到很多序列形的数据:
如:
- 自然语言处理问题。x**1 可以看做是第一个单词,x**2 可以看做是第二个单词,依次类推。
- 语音处理。此时,x1、x2、x3 …… 是每帧的声音信号。
- 时间序列问题。例如每天的股票价格等等
序列形的数据就不太好用原始的神经网络处理了。为了建模序列问题,RNN 引入了隐状态 h(hidden state)的概念,h 可以对序列形的数据提取特征,接着再转换为输出。先从 h**1** 的计算开始看:
图示中记号的含义是:
- 圆圈或方块表示的是向量。
- 一个箭头就表示对该向量做一次变换。如上图中 h0 和 x1 分别有一个箭头连接,就表示对 h0 和 x1 各做了一次变换。
在很多论文中也会出现类似的记号,初学的时候很容易搞乱,但只要把握住以上两点,就可以比较轻松地理解图示背后的含义。
h2 的计算和 h1 类似。要注意的是,在计算时,每一步使用的参数 U、W、b 都是一样的,也就是说每个步骤的参数都是共享的,这是 RNN 的重要特点,一定要牢记。
依次计算剩下来的(使用相同的参数 U、W、b ):
我们这里为了方便起见,只画出序列长度为 4 的情况,实际上,这个计算过程可以无限地持续下去。
我们目前的 RNN 还没有输出,得到输出值的方法就是直接通过 h 进行计算:
正如之前所说,一个箭头就表示对对应的向量做一次类似于 f(Wx+b) 的变换,这里的这个箭头就表示对 h1 进行一次变换,得到输出 y1 。
剩下的输出类似进行(使用和 y1 同样的参数 V 和 c ):
OK!大功告成!这就是最经典的 RNN 结构,我们像搭积木一样把它搭好了。它的输入是 x**1 , x2 , ….. xn ,输出为 y1 , y2 , ….. y**n ,也就是说,输入和输出序列必须要是等长的。
由于这个限制的存在,经典 RNN 的适用范围比较小,但也有一些问题适合用经典的 RNN 结构建模,如:
- 计算视频中每一帧的分类标签。因为要对每一帧进行计算,因此输入和输出序列等长。
- 输入为字符,输出为下一个字符的概率。这就是著名的 Char RNN(详细介绍请参考:The Unreasonable Effectiveness of Recurrent Neural Networks,Char RNN 可以用来生成文章,诗歌,甚至是代码,非常有意思)。
三、N VS 1
有的时候,我们要处理的问题输入是一个序列,输出是一个单独的值而不是序列,应该怎样建模呢?实际上,我们只在最后一个 h 上进行输出变换就可以了:
这种结构通常用来处理序列分类问题。如输入一段文字判别它所属的类别,输入一个句子判断其情感倾向,输入一段视频并判断它的类别等等。
四、1 VS N
输入不是序列而输出为序列的情况怎么处理?
我们可以只在序列开始进行输入计算:
还有一种结构是把输入信息 X 作为每个阶段的输入:
下图省略了一些 X 的圆圈,是一个等价表示:
这种 1 VS N 的结构可以处理的问题有:
- 从图像生成文字(image caption),此时输入的 X 就是图像的特征,而输出的 y 序列就是一段句子
- 从类别生成语音或音乐等
五、N vs M
下面我们来介绍 RNN 最重要的一个变种:N vs M 。这种结构又叫 Encoder-Decoder 模型,也可以称之为 Seq2Seq 模型。
原始的 N vs N RNN 要求序列等长,然而我们遇到的大部分问题序列都是不等长的,如机器翻译中,源语言和目标语言的句子往往并没有相同的长度。
为此,Encoder-Decoder 结构先将输入数据编码成一个上下文向量 c:
得到 c 有多种方式,最简单的方法就是把 Encoder 的最后一个隐状态赋值给 c ,还可以对最后的隐状态做一个变换得到 c ,也可以对所有的隐状态做变换。
拿到 c 之后,就用另一个 RNN 网络对其进行解码,这部分 RNN 网络被称为 Decoder 。具体做法就是将 c 当做之前的初始状态 h0 输入到 Decoder 中:
还有一种做法是将 c 当做每一步的输入:
由于这种 Encoder-Decoder 结构不限制输入和输出的序列长度,因此应用的范围非常广泛,比如:
- 机器翻译。Encoder-Decoder 的最经典应用,事实上这一结构就是在机器翻译领域最先提出的
- 文本摘要。输入是一段文本序列,输出是这段文本序列的摘要序列。
- 阅读理解。将输入的文章和问题分别编码,再对其进行解码得到问题的答案。
- 语音识别。输入是语音信号序列,输出是文字序列。
- …………
六、Attention机制
在 Encoder-Decoder 结构中,Encoder 把所有的输入序列都编码成一个统一的语义特征 c 再解码,因此, c 中必须包含原始序列中的所有信息,它的长度就成了限制模型性能的瓶颈。如机器翻译问题,当要翻译的句子较长时,一个 c 可能存不下那么多信息,就会造成翻译精度的下降。
Attention 机制通过在每个时间输入不同的 c 来解决这个问题,下图是带有 Attention 机制的 Decoder:
每一个 c 会自动去选取与当前所要输出的 y 最合适的上下文信息。具体来说,我们用 aij 衡量 Encoder 中第 j 阶段的 hj 和解码时第i阶段的相关性,最终 Decoder 中第 i 阶段的输入的上下文信息 ci 就来自于所有 hj 对 aij 的加权和。
以机器翻译为例(将中文翻译成英文):
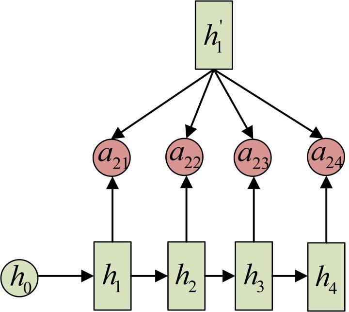
输入的序列是“我爱中国”,因此,Encoder 中的 h1、h2、h3、h4 就可以分别看做是“我”、“爱”、“中”、“国”所代表的信息。在翻译成英语时,第一个上下文c1应该和“我”这个字最相关,因此对应的 a11 就比较大,而相应的 a12 、 a13 、 a14 就比较小。c2 应该和“爱”最相关,因此对应的 a22 就比较大。最后的 c3 和 h3、h4 最相关,因此 a33 、 a34 的值就比较大。
至此,关于Attention模型,我们就只剩最后一个问题了,那就是:这些权重 aij 是怎么来的?
事实上, aij 同样是从模型中学出的,它实际和Decoder的第i-1阶段的隐状态、Encoder第j个阶段的隐状态有关。
同样还是拿上面的机器翻译举例, a1j 的计算(此时箭头就表示对h’和 hj 同时做变换):
a2j 的计算:
a3j 的计算:
以上就是带有Attention的Encoder-Decoder模型计算的全过程。
七、总结
本文主要讲了N vs N,N vs 1、1 vs N、N vs M四种经典的RNN模型,以及如何使用Attention结构。希望能对大家有所帮助。
可能有小伙伴发现没有LSTM的内容,其实是因为LSTM从外部看和RNN完全一样,因此上面的所有结构对LSTM都是通用的,想了解LSTM内部结构的可以参考这篇文章:Understanding LSTM Networks,写得非常好,推荐阅读。
