功率半导体器件如IGBT等工作时,会产生较多的功耗,为了防止功率器件温升过高,结合功率器件热阻性能,通常需要配置适当的散热器。选择功率器件散热器的原则是,在保证器件及电力电子设备能正常可靠运行的前提下,尽量选择体积小重量轻、经济实用的散热器。
一 散热器的选择
通常功率半导体器件的Tjm、Rθj-c、Pc和最高工作环境温度是已知的。电路设计者的任务就是根据《功率半导体器件的热阻介绍》一文所介绍的方法计算出所需的散热器到环境的热阻Rθs-a,查产品目录或手册中给出的散热器到环境热阻阻值的曲线或表格,选出所需要的散热器。
《IGBT功率器件散热器详解》一文图2、图3分别为型材散热器和叉指型散热器的允许最大温升△Tsa、允许最高热阻Rθs-a和Pc关系的特性曲线图。此特性曲线图中给出的散热器允许最大温升△Tsa和允许最高热阻Rθs-a的两组曲线,实质上是一回事。它们之间的关系可由下式得出:
由此式可见,当散热器的最大允许热阻Rθs-a一定时,最大允许温升△Tsa也一定.故选择所需的散热器型号时,除可根据最大允许热阻Rθs-a选择外,也可以根据散热器最大允许温升△Tsa来选。当然,选择散热器,除可用曲线的方法进行选用外,还可以用查表的方法选用。
《IGBT功率器件散热器详解》一文表2、表3是国产型材散热器和叉指型散热器的型号及其对应的热阻Rθs-a之值。
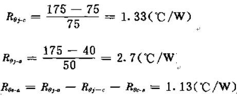
例 某斩波器中功率晶体管3DD262F,其PCM=75W(测试条件Tc=75℃),外型为F2型。使用时晶体管外壳和散热器之间涂有硅油,并直接接触,Ta=40℃,晶体管实际功耗Pc=50W。要求给功率晶体管选配合适的散热器。
解:根据Pc=50W、Ta=40℃、管壳外型为F2型、管壳和散热器直接接触,且涂有硅油,可查表得到接触热阻Rθc-s=0.24℃/W。同时根据PCM的测试条件求得:根据计算出的热阻查表,选出耗散功率为50W,长为120mm的XC768-1型型材散热器,其Rθs-a=1.1℃/W<1.13℃/W,能满足设计要求。
例 一开关电源中的功率晶体管,其工作电流20A、电压100V,电感负载,开关频率10KHz,脉宽比δ为0.5,Rθj-c=0.5℃/W,通态管压降为1V,开和关的时间分别为1uS和2uS,环境温度25℃时,管的结温不超过155℃,管外型为F2,直接安装在无硅油的散热器上。要求选配合适的散热器。
解:开和关的瞬时功耗为:通态功耗为:忽略驱动和关态损耗,总损耗为:查表得Rθc-s=0.33℃/W,可得:由Rθs-a、Pc查表,选取XC765-2型型材散热器,长度为60mm,耗散功率为50W,其
Rθs-a=2.3℃/W<2.42℃/W,可满足要求。
如果手头一时无型材散热器,可采用铝平板作为散热器,根据Rθs-a=2.42℃/W,查图选用厚5mm、面积为300cm2的铝平板作散热器,垂直放置也能满足要求。
功率半导体器件的可靠性与结温成指数关系。一般而言,结温降额40~50℃,管的可靠性可提高一个数量级。
特别是功率器件工作于间歇状态时,结温重复突变,引起器件热疲劳,大大缩短使用寿命。因此,为了提高器件的可靠性,在设计功率器件散热时,可根据实际条件和要求,对器件的结温进行充分的降领。
二 散热器的安装
功率半导体器件的正常运行,在很大程度上还取决于器件与散热器之间的安装质量。散热器安装台面,必须与器件很好接触,形成良好的导电面和导热面。由于功率半导体器件容量不同,使用条件不同,外形结构及品种不同,所以与散热器之间的安装形式也并不相同。但是管壳与散热器之间的温差和接触热阻Rθc-s必须控制在工厂规定的数值以下。
为了充分发挥散热器的散热能力,使功率半导体器件得到良好的散热效果,安装散热器时,需注意以下几点:
①要使散热器和器件外壳之间的接触面很平,并保持接触良好。为了提高散热效果,可在散热器和器件外壳相接触的表面上均匀涂敷一层硅油。自冷式散热器的表面最好是黑色,借以提高辐射系数。
②使用的紧固力矩要合适。力矩过小,会增大热阻;过大,又会使器件变形,产生应力。严重时,甚至会使芯片产生裂缝或引线折断。一般F1、F2型外壳的器件,其紧固力矩在(6~10)9.8Ncm范围之内选择。对于螺栓式连接结构,必须有防松垫圈,将螺母旋至锁紧位置后,应再转半圈,锁紧扭矩不能过大。
⑤散热板的凹、凸弯度与螺栓之间间隔应小于0.05mm。
④散热器安装好后,不允许再对器件的外壳和散热器进行整形或机械加工,否则将增大热阻。
⑥器件应装在尽量远离变压器、大瓦数电阻等发热源的地方。目的是避免热量传到器件的散热器上或使器件周围环境温度升高。




