04 全连接神经网络(上)
设计一个分类器的各个步骤
如何表示图像
线性分类器

对于线性分类器,
其中,x代表输入图像,维度为d;f为分数向量,维度为类别个数c;W为权值矩阵,行数为类别数(每个类别都有一个权值向量),列数为特征维度;b为偏置向量,行数即为类别数,每个类别都有个偏置量。
全连接神经网络(多层感知器)
不同于线性分类器,不是给一个x,通过一次线性变换就输出结果,会级联多个变换来实现输入到输出的映射。
全连接神经网络的核心还是线性分类器,但是多了非线性操作。非线性操作是不可以去掉的,否则就不是全连接神经网络的,又变成了线性分类器。
:::info
后面会递推
:::
全连接神经网络的权值有启发
Q:线性分类器级联的构架,真实情况是如何工作,为什么会有效,如何直观理解。
两层全连接网络中,W1的行数人为指定,W2的行数就必须为类别数了。 max为逐元素的操作。
Q:指定W1的行数有何作用呢?
A:比如在原来学的马里面,数据集有两个方向的马头,马的模板要去记录马,平均一下因此模板里会有两个方向的马头;显然模板记录的马是不准确的马。如果模板数够多,比如W1行数为100,也就是有100个模板,那么可以用一个模板去记录正向的马,另一个模板记录朝另一个方向的马;只要模板够多,就有机会学到真正的马长什么样。这就是全连接神经网络第一层权值重要的地方。
Q:两层神经网络为何比线性分类器好
A:W2通常用来融合多个模板的比较结果然后给出结论。W2通常用来融合当前x在低层各个模板的响应结果。
全连接神经网络与线性不可分
- 线性分类器解决的是线性可分问题。
- 线性可分:至少存在一个线性分界面能把两类样本没有错误的分开。
- 如果任务的样本是线性不可分的话,这时候就要求助于全连接神经网络这样的分类器。
全连接神经网络绘制与命名
:::info
全连接神经网络其实是将线性分类器经过非线性操作后级联起来,想写几层全连接网络就级联几次线性分类器。
:::

图中W1中包含了b,为了简化才没有单独写出来。 隐层即模板的个数,输出层的个数是固定的,即类别数。
- N层全连接神经网络:除输入层之外其他层的数量为N的网络。
激活函数
Q:为什么需要非线性操作?
A:去掉激活函数后,全连接神经网络将变成一个线性分类器。
常用的激活函数

激活函数会对前一层输出的向量中的每个维度分别进行处理。
网络结构设计
1、用不用隐层,用一个还是用几个隐层?(深度设计)
2、每隐层设置多少个神经元合适?(宽度设计)
没有统一的答案。
- 结论:神经元个数越多,分界面就可以越复杂,在这个集合上的分类能力就越强。
全连接神经网络小结
Softmax与交叉熵(softmax让网络可以输出概率)
现在预测的时候,只能求出输出层最大的分数,比如f3,然后将其下标作为预测的类别,比如第3类。分数的取值范围为负无穷到正无穷。
而我们想知道做这个决定的正确的可能性,通过现在的输出达不到这个效果,因此引入下面的softmax操作。
softmax操作后,输出层就是一个概率分布。
交叉熵损失(计算输出和标准答案间的距离)
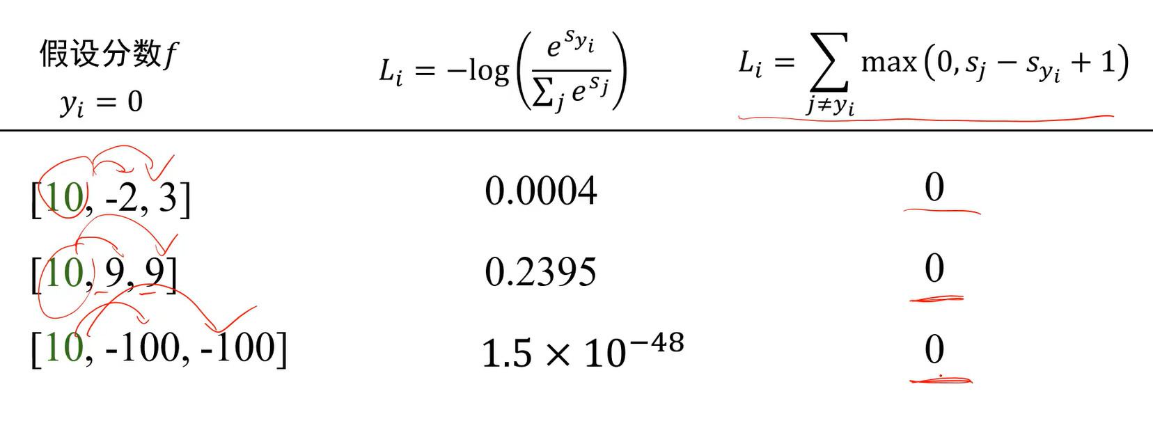
Q:如何度量现在的分类器输出和预测值之间的距离?
A:需要比较图中两个分布之间的距离,这就是交叉熵所作的。当两个分布越接近时,交叉熵的损失值就越小。
真实分布用one-hot向量表示的。 上述距离不能用多类支撑向量机损失来度量,因为它不考虑右侧,只考虑左侧比如车的答案和鸟的答案之间的关系,大过1没有。无法考虑两个概率分布之间的关系。
交叉熵
- 熵:信息量的体现。当信息量大的时候,熵就大。比如巴西队和中国队足球比赛,中国队基本必输,这时候熵就小。
- 比如[胜,负,平]的概率为[1,0,0],则熵算出来就为0,当每种情况出现的概率都为1/3即一样时,计算出来熵最大。
- 交叉熵:是p和q两个分布之间的关系。x也是对每种可能性进行的求和。
- 相对熵
- 为什么叫散度(不相似性)不叫距离,距离满足可交换性,但散度不满足。


- 真实的p通常就是one-hot向量即标准答案,[1,0,0],此时熵为0,则KL散度就等于交叉熵。所以就可以用交叉熵来度量两个分布之间的距离。

- 真实分布为one-hot形式时,交叉熵损失简化为:
交叉熵损失 vs 多类支撑向量机损失

Q:相同分数下两种分类器的损失有什么区别?
A:交叉熵在下面第二种情况下并没有停止训练,因为不仅要求预测类别分数高,同时要求其他类别分数低。而多类支撑向量机损失只要比别人高1分就行了。
总结
1、softmax操作能让神经网络的输出从绝对的数值变成概率分布
2、交叉熵能度量输出的概率分布与真实的标签(一般为one-hot形式)之间的距离
优化算法
计算图:让计算机实现任意复杂函数的求导问题
- 计算图上前向计算可以由输入计算出输出。
- 反向计算可以得出输出相对于输入的梯度。可以算出各局部梯度,由链式法则,相乘即可得到梯度。
- 计算图可以算出输出相对于图上所有单元的梯度(不仅是对输入的梯度)
计算图总结
:::info
由于链式法则一路都在做乘法,会存在一些问题。如果局部梯度都比较小,那么每乘一次,数值就变小一次,如果操作叠加的越多,那么梯度信息传着传着很快就没了。这也叫梯度消失问题。
:::
计算图的颗粒度
我们可以将红框中的当成一个整体来看,直接用下面的公式计算这个框的输出和输入间的局部梯度,然后再乘上游梯度。这也就将原本四五次的操作一次完成。
因此计算图中有个颗粒度问题,计算图中的某个门,可以是个复杂的函数,也可以是简单的加减法;我们可以将一些已知的函数,如sigmoid,将其导数求出来,然后把它当作一个基元,这个函数的颗粒度较大,但是计算此函数时计算效率就变高了。
如果完全交给tensorflow,颗粒度较小,计算效率较低,因此有时候可以手写复杂函数的梯度
计算图中常见的门单元

拷贝门(一个神经元输出多个结果给多人用),一个数据拷贝成两份,回传时,两路的信息要累加起来。
max门,哪个输入大,梯度就回传给谁。
再谈激活函数
梯度消失
- 梯度消失是神经网络训练中非常致命的一个问题,其本质是由于链式法则的乘法特性导致的。
- 一旦梯度消失,前面神经网络的参数就改变不了了。
- sigmoid函数大部分时候都是很小的梯度,接近0,最大的时候也才1/4,比如串10个,每次缩小1/4,几次以后梯度也消失了。因此现在sigmoid不再使用。
- 梯度爆炸,也是由于链式法则的乘法特性导致的。


- 作为输出层,比如希望输出为0到1之间。可能会用到sigmoid或tanh。但作为隐层不会使用,因为局部梯度特性不利于网络梯度的传递。

- 而relu函数,计算更简单(不用算指数),局部特性也很好。
- 但有些缺点,输入小于0时梯度为0。



Q:为什么有效?
A:累加过程中震荡方向相互抵消,平坦方向得到加强。
\mu为何不取1,v=v+g,这样的话即使梯度下降算法走到平坦区域,g=0了,然而累加值v不为0,仍然会一直走,梯度下降算法就停止不了;而\mu为0.9的话,v=0.9v,相当于加了个摩擦系数,算法慢慢会停下来。

Q:如何区分震荡方向和平坦方向?
A:梯度幅度的平方较大的方向是震荡方向;幅度较小的方向是平坦方向。
写成代码的方式如下:
:::info
其实是自适应的调节学习率
:::
缺陷是,累加时间过长时,r会是个很大的值,此时学习率即真实的步长就会很小,就失去了调节的意义了。 因此下面讲解一种改进方法。
RMSProp

- 做法:每次的历史梯度加上一个衰减值。
- 好处:
- 当
为0时,仅靠当前梯度,当前梯度很大,就把此方向速度降慢;当前梯度小,就把此方向速度增大。
- 当
为1时,就不考虑当前梯度了,因此不会取1.
一般设个0.999,非常接近1的值。如果梯度老是0,虽然
为0.999,但求出的r会被一直衰减。因为每次乘0.999,连乘下去会是很小的值了,就不会再去影响梯度了。
- 增大
代表着考虑的历史值越多。保留的历史次数越多,
的值就要设置越大。打个比方,比如我要保留100次历史,
可能就设为0.99。 :::info 自适应梯度即不同方向迈不同的步长来实现的。 :::
Adam
既然上面两种都是来解决这个问题,为何不结合在一起呢?这就是Adam,同时使用动量和自适应的思想。
:::info
修正项仅在训练初期,冷启动时起作用,来防止初期优化得很慢。t为训练轮次,当训练轮次变多时,越来越小,
就越来越接近1,修正项就不起作用了。 :::
总结
推荐使用:
1、SGD+动量法
2、或直接用Adam。
但是SGD+动量法,调优的效果更好,手动调这两个东西的学习率会比Adam更好,但手动调到一个很优的值不太容易,这就是所谓的炼丹,炼丹很多时候就是在调这个东西。
Adam在很多任务下很快就能弄好。
很多时候我们使用Adam初始学习一下,学不动的时候用SGD+动量法手动调;也有时SGD+动量法先学一学,之后用Adam做后面的加速。
- 当
训练过程
权值初始化
训练的时候,总得给个权值来前向求解,然后才能反向计算梯度。即梯度下降时总要先给个起始点,起始点怎么给即权值初始化的问题。
建议采用随机初始化,避免全零初始化。
如上图,采样自方差为0.1的高斯分布,输出值为0,则局部梯度也为0;后面的层,输出值为0,则输入的信息,根本就传不到输出。证明前向计算流都不畅通,反向梯度流也不可能畅通,网络无法被训练。
- 因此随机初始化如果初始化太小,前向传递就会被衰减。

- 那如果采样自方差为1的高斯分布呢?如上图。-1到1时tanh函数的梯度进入饱和区,梯度就传不回来,网络还是无法训练。
结论:
目标是希望输出的y和输入的z有相同的分布,这样迭代过程中信息会正常的流动,反向梯度流也会正常。



如上图,每层输出值的分布不再是0附近,基本符合正态分布了,这样前向输出流就比较均匀,反向梯度也可以计算了。
HE初始化
对于ReLU激活函数来说,Xavier初始化方法仍然不好。

因此引入何凯明推出的方法。
权值初始化小结
好的初始化方法可以防止前向传播过程中的信息消失,也可以解决反向传递过程中的梯度消失。 :::info 当激活函数选择双曲正切或sigmoid时,建议适用Xavier初始化;
激活函数选择ReLU或leaky relu时,推荐使用He初始化方法 :::批归一化(Batch Normalization)
批归一化考虑问题的角度和权值初始化不一样。
批归一化与梯度消失
- 批归一化也称为BN操作,经常插入到全连接层后,非线性激活前。
- 解决两个问题:
- 正向传递时能保证每一层有数据往前传,不至于小到0。
- 反向传递问题,让数据都在激活函数梯度最有效的范围。
批归一化实现算法

- 批归一化算法除了归一化外,最后还加了一步平移缩放。
算法中的输入即原来神经网络的输出,算法的输出即经过批归一化算法的输出。m是批量。 多了两个参数,
是希望数据映射到新方差上去,
是希望数据映射到新均值上去。这两个参数也是神经网络学习的,并非超参。 这样输出的y就对应到神经网络自己选择的均值和方差。
Q:训练的时候是有批量的,测试的时候均值和方差怎么设置(测试时只有一个样本)?
A:来自于训练中。累加训练时每个批次的均值和方差,最后进行平均,用平均后的结果作为预测时的均值和方差。
:::info
批归一化和权值初始化要解决的问题,都是让我的信息流正向传递通常,反向传递也顺畅,这样才能保证网络能得到正常的训练。
:::
过拟合与欠拟合
出现过拟合,得到的模型在训练集上的准确率很高,但在真实场景中识别率很低。
:::info
之前学过,此部分没做笔记
:::
应对过拟合
随机失活的应用

上图可以看出,因为随机失活在测试阶段是不用的,所有神经元都会打开,就会导致训练阶段的输出和测试阶段的输出范围之间差着1/2倍。
因此要给测试阶段的输出乘上p后,两个阶段的输出范围才是一样的,神经网络才能正常工作。
mask矩阵U里的元素非0即1。 测试阶段时,如果后面不乘p,则H输出的值,与训练阶段的H值就不一样了;因此预测时乘以p才能保证与训练时的输出一样。
- 真实应用中这样写起代码来不太方便,我们更希望随机失活作为一个层,希望这个层我加到H1后预测的时候不用再考虑它。
- 因此在U1后面除掉p。这样在训练阶段的输出就和真实预测的输出一样了。
- 这样就可以将U1当作一个层,即Dropout层。
- 输入H1,输出是随机失活处理后的H1,这个层只有一个参数p。








